Szkoła pachnąca jabłkami
Powiatowy Zespół nr 6 Szkół Zawodowych i Ogólnokształcących w Brzeszczach w marcu 2015 roku przystąpił do...
Aktualności dotyczące tematu „Szkoły" – 5 020 artykułów
Strona 379 z 419 · 5020 artykułów
Powiatowy Zespół nr 6 Szkół Zawodowych i Ogólnokształcących w Brzeszczach w marcu 2015 roku przystąpił do...
Nie do poznania zmienił się gmach Powiatowego Zespołu nr 2 Szkół Mistrzostwa Sportowego i Technicznych w...
25 listopada w Powiatowym Zespole Nr 3 Szkół Technicznych i Ogólnokształcących w Oświęcimiu odbyła się...
W listopadzie Powiatowy Zespół Nr 5 Szkół Budowlanych po raz kolejny gościł uczestników Powiatowej Licealiady w...
Znakomita polonistka, ceniona wychowawczyni i autorytet młodzieży. Uwielbiana przez uczniów, doceniana przez...
Młodzieżowy Dom Kultury w Oświęcimiu wspólnie ze Starostwem Powiatowym zaprasza wszystkich uczniów szkół...
Kiedyś stały tam działki przyzagrodowe. Później miejsce to pełniło funkcję nielegalnego składowiska odpadów i...
Kiedyś stały tam działki przyzagrodowe. Później miejsce to pełniło funkcję nielegalnego składowiska odpadów i...
Kiedyś stały tam działki przyzagrodowe. Później miejsce to pełniło funkcję nielegalnego składowiska odpadów i...
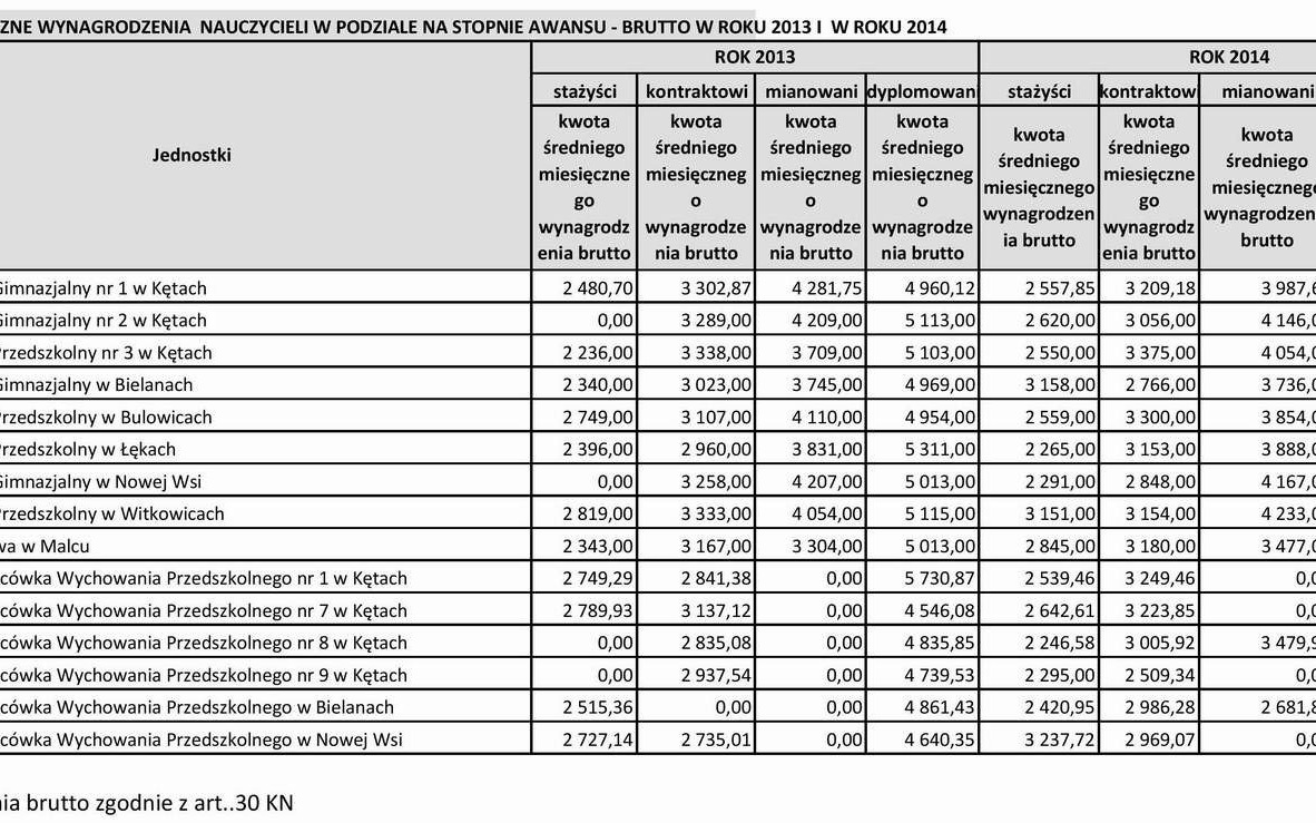
6 listopada 2015 r. zapytaliśmy Zakład Obsługi Szkół i Przedszkoli Samorządowych w Kętach o średnie...
18 listopada br. (środa) o godzinie 14:00 odbędzie się XII sesja Rady Powiatu w Oświęcimiu w sali audiowizualnej...
22 października w oświęcimskich gimnazjach zostały przeprowadzone wybory uzupełniające do Młodzieżowej Rady...
Strona 379 z 419 · 5020 artykułów